WilliamHill官网
English
|
设为首页
|
加入收藏
首页
通知公告
学院新闻
威廉概况
学院简介
现任领导
机构设置
党的建设
组织机构
制度文件
党建动态
学科建设
科学研究
审核评估
教学管理
威廉希尔
管理制度
学工在线
就业创业
校友风采
教学管理
教学管理
首页
>
教学管理
> 正文
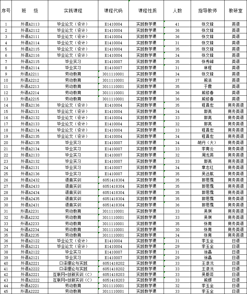
2024-2025学年第二学期实习实训计划统计表
发布者: 时间:2025-04-08 09:33:30 浏览:
上一条:我院召开大学英语师生座谈会
下一条:威廉希尔中国毕业论文(设计)电子材料存档要求